ตัวอย่างนี้ แสดงการเขียน javascript ให้ทำงานแบบ tree
อาจคัดลอกส่วนของ script ไปทดสอบที่
1)
webtoolkitonline.com
2)
js.do
3) เขียนบน notepad จัดเก็บ แล้วทดสอบบน Browser
หรือ 4) ส่ง code เข้า console ใน Browser : Developer tools
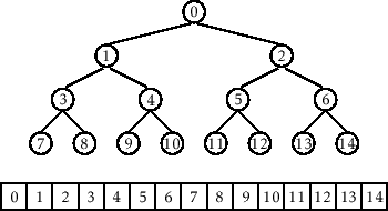
ตัวอย่างนี้ เรียกใช้ method tree.setNode ทั้งหมด 7 ครั้ง
เพื่อสร้าง 7 Node
รูปแบบ คือ tree.setNode(value, level, node);
เช่น setNode(7,2,3);
คือ ทำให้ค่า 7 อยู่ใน tree
และอยู่ใน level ที่ 2 ใน nodeที่ 3
แต่ถ้า setNode(1,0,0);
คือ ทำให้ค่า 1 อยู่ใน tree
และอยู่ใน level ที่ 0 ใน nodeที่ 0
โดยโหนดแรกในแต่ละ level คือ 0
ดังนั้น node สุดท้ายของ level 2 ย่อมเป็น 3
// 1<<k is 2^k (อ่าน
https://www.w3schools.com/jsref/jsref_operators.asp)
// เช่น x = 5 << 1 เท่ากับ 1010 << 1 คือ bit:left shift ดังนั้นผล คือ 0101 ค่าคือ 10
// เช่น x = 5 << 2 เท่ากับ 1010 << 2 คือ bit:left shift ดังนั้นผล คือ 00101 ค่าคือ 20
+ ตัวอย่าง
tree_sample.htm ที่ยังไม่แปลภาษา
+ ตัวอย่าง
tree_sample.htm แบบ unicode ใน github.com
+ ตัวอย่าง
github.io + index.md สำหรับเผยแพร่ผลงาน
<script>
var tree=new BinaryTree();
tree.setNode(1,0,0); // (value, level, node)
tree.setNode(2,1,0); // ( 2 , 1 , 0 )
tree.setNode(3,1,1);
tree.setNode(4,2,0);
tree.setNode(5,2,1);
tree.setNode(6,2,2);
tree.setNode(7,2,3);
document.write("" + tree.level + tree.node); // ค่า 00 นั้น เมื่อเริ่มต้นจำนวน node ที่กำหนดไว้ คือ 0
document.write(tree.rightChild()); // ค่า 3 คือ right ของ 0,0
document.write("" + tree.level + tree.node); // ค่า 11 คือ ระดับที่ 1 และโหนดที่ 1 ซึ่ง value=3
document.write(tree.leftChild()); // ค่า 6 คือ ค่าลูกทางซ้ายของ node ที่ 3
document.write("" + tree.level + tree.node + "
"); // ค่า 22 คือ ตำแหน่งของค่า 6
document.write(tree.root()); // 1
document.write("" + tree.level + tree.node); // ค่า 00 คือ ระดับที่ 0 และโหนดที่ 0
document.write(tree.getNodePow(0,0)); //1
document.write(tree.getNodePow(2,3)); //7
document.write(tree.btSMF(2,3) + "
"); // 6
document.write(tree.traverse()); // 1,2,4,5,3,6,7 คือการท่องแบบ preorder
document.write("" + tree.level + tree.node + "
"); // ค่า 00 คือ ย้อนกลับไปที่จุดเริ่มต้น
document.write(tree.leftChild()); // 2
document.write("" + tree.level + tree.node + "
"); // ค่า 10 คือ ตำแหน่งของค่า 4
document.write(tree.rightChild()); // 5
document.write("" + tree.level + tree.node + "
"); // ค่า 21 คือ ตำแหน่งของค่า 5
function BinaryTree() {
// ฐานของ node เริ่มต้นที่ 0 ทั้ง level และ node
this.level = 0; // current level we're on
this.node = 0; // current node we're on
// shift เป็น operator สำคัญ สำหรับ binary tree
// shift-based formula works only on a binary tree.
// 1<<k is 2^k (อ่าน https://www.w3schools.com/jsref/jsref_operators.asp)
// so location = node + 2^level - 1
// "binary tree Storage Management Function" คือ ตำแหน่งปัจจุบันใน binary tree หาก root=0
// ตำแหน่งของ btSMF ก็จะเป็น 0,1,2,3,4,5,6 หากมี 3 ระดับ และนับ root เป็น level 0
this.btSMF = function(level, node) {
return node + (1<<level) - 1;
}
// btSMF ใช้หาจำนวน node ของ binary tree ที่ไม่นับ root
// btSMF (BT:Binary Tree Storage Management Function)
// ใช้ Math.pow ช่วยในการยกกำลัง
this.btSMFPow = function(level, node) {
return node + Math.pow(2, level) - 1;
// ไม่ต่างกับ return node + (1<<level) - 1; เค้าเล่าว่าใช้แบบไหนก็ได้
}
// ประกาศพื้นที่เก็บ Nodes เป็น new array()
this.Nodes = new Array();
// อ่านค่าของ node จาก binary tree และคืนค่ากลับไป
// if level isn't supplied, return value of the current node
this.getNode = function(level, node) {
if (level === undefined) {
return this.Nodes[this.btSMF(this.level, this.node)];
} else {
return this.Nodes[this.btSMF(level, node)];
}
}
// กำหนดค่าที่รับมา ลงไปใน node ของ binary tree
// if level argument is supplied use it, otherwise use current location level
this.setNode = function(value, level, node) {
if (level === undefined) {
this.Nodes[this.btSMF(this.level, this.node)] = value;
} else {
this.Nodes[this.btSMF(level, node)] = value;
}
}
// อ่านค่าของ node จาก binary tree และคืนค่ากลับไป
// ซึ่งเหมือนกับ this.getNode และ getNodePow ไม่ถูกใช้ใน script นี้
// didn't implement node position effects in this version
this.getNodePow = function(level, node) {
return this.Nodes[this.btSMF(level, node)];
}
// กำหนดค่าที่รับมา ลงไปใน node ของ binary tree เป็นอีกทางเลือกที่ใช้ Math.pow
// didn't implement node position effects in this version
this.setNodePow = function(value, level, node) {
this.Nodes[this.btSMFPow(level, node)] = value;
}
// กำหนดตำแหน่งปัจจุบันของ root เป็น 0,0
// set the current position to the root: tree.root()
// set the value at the root: tree.root(100)
// get the value at the root: rootvalue = tree.root()
// this one uses the bitshifted SMF
this.root = function(value) {
this.level = 0;
this.node = 0;
// if a value was supplied, set it
if (value !== undefined) {
this.Nodes[this.btSMF(this.level, this.node)] = value; // level 0, node 0
}
// return the root node value
return this.Nodes[this.btSMF(this.level, this.node)];
}
// กำหนดตำแหน่งปัจจุบันของ root เป็น 0,0 และนี่ก็เป็นตัวอย่างการใช้ Math.pow
// alternate version of root using Math.pow, just to double-check
this.rootPow = function(value) {
this.level = 0;
this.node = 0;
if (value !== undefined) {
this.Nodes[this.btSMFPow(this.level, this.node)] = value;
}
return this.Nodes[this.btSMFPow(this.level, this.node)];
}
// get the left child of a parent: tree.leftChild()
// set the left child of a parent: tree.leftChild(6);
this.leftChild = function(value) {
this.level++;
this.node = this.node * 2; // see diagram above
if (value !== undefined) {
this.Nodes[this.btSMF(this.level, this.node)] = value;
}
return this.Nodes[this.btSMF(this.level, this.node)];
}
// same but for right child
this.rightChild = function(value) {
this.level++;
this.node = this.node * 2 + 1; // see diagram above
if (value !== undefined) {
this.Nodes[this.btSMF(this.level, this.node)] = value;
}
return this.Nodes[this.btSMF(this.level, this.node)];
}
// get the parent of the current node
this.parent = function(value) {
this.level--;
this.node = this.node >> 1; // alternatively, Math.floor(this.node / 2) prolly
if (value !== undefined) {
this.Nodes[this.btSMF(this.level, this.node)] = value;
}
return this.Nodes[this.btSMF(this.level, this.node)];
}
// ท่องเข้าไปใน binary tree แบบ preorder
// recursively traverse the tree in an inner function
this.traverse = function() {
var that = this, // reference to the tree
stack = new Array(); // store traversal results
// recursive inner function that immediately executes from current node position
(innerTraverse = function() {
// push current node value onto the stack
stack.push(that.getNode());
// if it has a left child, go there and traverse, then come back
if (that.leftChild() !== undefined) {
innerTraverse();
}
that.parent();
// if it has a right child, go there and traverse, then come back
if (that.rightChild() !== undefined) {
innerTraverse();
}
that.parent();
})();
// done recursing, return our array
return stack; // ท่องเข้าไปโดยใช้แนวคิดแบบ stack
}
}
</script>